受委托,我市场定于2025年11月24日上午10时,拟对以下标的进行公开转让,现公告如下:
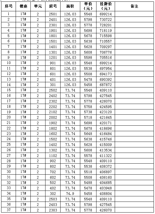
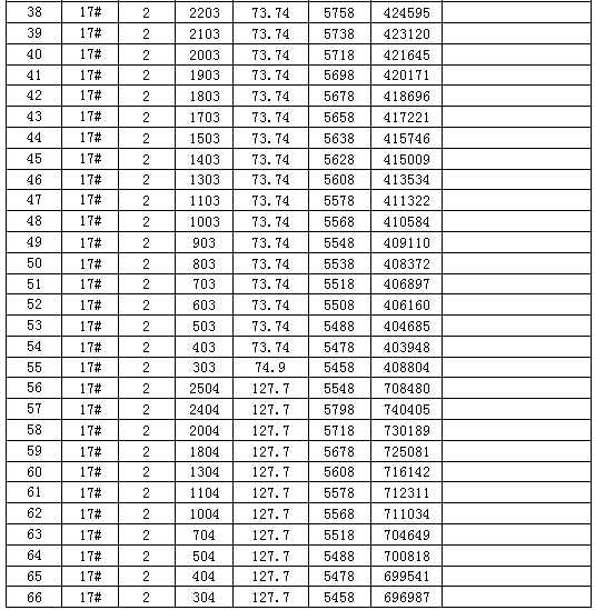
一、标的基本情况及挂牌价:


注:以上提供的标的面积数据仅供参考,均以现场实物为准。
二、意向受让方须具备的基本条件:
1、具有完全民事行为能力的自然人或依法注册并合法存续的法人机构、其他组织等;
2、具有良好的财务状况和支付能力,具备一次性支付成交价款的能力;
3、符合国家法律法规规定的其他条件。
三、转让方式:网络竞价

竞价指南请自行扫码领取
四、预展时间和地点:
预展时间:2025年11月19日-2025年11月21日(工作时间内)
预展地点:长治市上党区上党郡·北辰
五、报名注意事项:
1、意向受让方在报名时,请携带有效证件及复印件于2025年11月21日17时前办理竞买登记手续并缴纳竞买保证金,竞买保证金为人民币10万元/套(竞买保证金不计息)。
竞买保证金缴纳方式:
通过银行转账方式汇入以下账号:
户 名:长治市产权交易市场(有限公司)
开户行:长治潞州农村商业银行股份有限公司五马支行
账 号:457181010300000064160
行 号: 402164004005
2、信息发布期满,如只征集到一个符合条件的意向受让方且足额交纳了竞买保证金的,意向受让方应当以不低于挂牌价格(转让底价)的价格受让竞价标的,并按照长治市产权交易市场的公告或通知要求在规定时限内通过交易系统进行报价,报价高于或等于挂牌价格的,则该报价成为受让价格。
3、若非转让方原因,出现以下任何一种情形时,转让方和长治市产权交易市场有权将意向受让方交纳的竞买保证金全额扣除:①只征集到一个符合条件的意向受让方在长治市产权交易市场公告或通知的规定时限内,意向受让方未通过产权交易系统进行有效报价的;②意向受让方交纳竞买保证金后单方撤回受让申请的;③在竞价过程中以挂牌价格为起始价格,各意向受让方均不报价的;④意向受让方存在影响正常转让、竞价公正性或其它违反转让、竞价程序要求的情形的;5在被确定为受让方后未按约定时限签署交易合同、成交确认书及未按约定时限支付成交价款和平台服务费的。
4、意向受让方须在最终确定为受让方后5个工作日内到长治市产权交易市场办理成交手续并缴纳成交价款及平台服务费。
六、其他需要披露的内容:
1、标的物资产情况及瑕疵均以现场实物实际状况为准。在公告期内,意向受让方须自行对标的物资产进行实地踏勘全面了解,并充分全面了解标的物资产现状、法律状态、存在的瑕疵和其他要相关情况,可到市产权交易市场查询转让方提供的相关资料,长治市产权交易市场对这些资料不负保证义务。意向受让方一旦提交报名资料交纳保证金即视为对标的物资产已完成现场踏勘,完全了解与认可标的状况,自愿接受标的物资产的全部现状及瑕疵,且自愿承担一切责任和风险,成为受让方后不得以不了解标的物资产状况、法律状态、质量等情况或其他任何理由退还标的物或拒付成交价款及平台服务费,拒绝签订成交确认书和房屋买卖合同,否则视为违约,受让方应承担相关的全部责任和风险,并赔偿相关损失。
2、受让方须自行了解标的物房屋不动产权证的办理情况,并与转让方协商办理标的物权属登记或权属变更登记手续等事宜,由此产生的一切后果、风险及费用,均由受让方自行承担。因标的物现状及存在瑕疵等原因不能或者延迟办理标的物权属登记手续或办理标的物权属变更登记手续造成的费用增加的后果及其他相关风险均由受让方自行承担。上述事项,长治市产权交易市场均不做任何保证、不承担任何责任与后果。
3、我市场不负责标的物房产的移交、变更、过户、办理不动产权证书等,受让方须自行办理标的物房产的移交、变更、过户、办理不动产权证书等,交易过程中产生税费、手续费、过户费等依照相关政策法规,由转、受让方各自承担相应的部分。
七、报名地址及联系方式
报名地址:紫金西街40号长治市产权交易市场二楼217室
联系电话: 0355-2183257
网址:http://www.czscq.com
长治市产权交易市场(有限公司)
2025年11月14日